Dear Aspirants,
UIICL has released the Prelims Statewise & Sectional Cutoff for the recruitment of assistant.
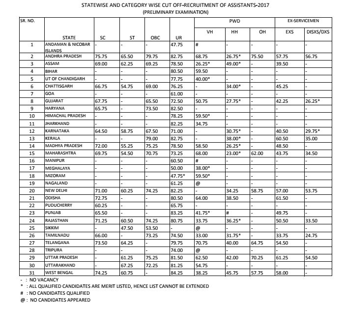
Statewise Cutoff:

Sectional Cutoff:

Click Here To View Statewise Cutoff Notice
Click Here To View Sectional Cutoff Notice
AffairsCloud Recommends Oliveboard Mock Test
AffairsCloud Ebook - Support Us to Grow
Govt Jobs by Category
Bank Jobs Notification



